山東龍安泰環保科技有限公司合格供應商征集公告
山東龍安泰環保科技有限公司成立于2005年,國家高新技術企業。公司集研發制造、工藝設計、項目建設、水務運營于一體,聚焦于難降解廢水、高鹽廢水的高效治理和綜合利用,并提供具有高附加值的解決方案和關鍵裝備。服務項目涵蓋醫藥、農藥、合成染料、有機顏料、涂料、高分子材料、催化劑和各種助劑等精細化工領域,以及鋼鐵、煤化工、石化能源、化纖、樹脂、食品釀造等眾多行業。
龍安泰秉承與供應商誠信合作、攜手并進、互利共贏的發展理念,為進一步充實和完善供應商資源庫,全面開創龍安泰采購供應鏈建設的新局面,現面向社會公開征集合格供應商。一旦審查合格隨即進入《山東龍安泰環保科技有限公司合格供應商庫》,本公司將與其簽訂年度或季度采購合同。
一、本次供應商征集類別
序號 | 征集業務類別 |
A泵類: | 各類計量泵,化工離心泵,渦輪泵,螺桿泵,潛污泵,耐腐蝕化工泵,氣液混合泵,多級離心泵等污水處理工程用泵。 |
B閥門類: | 各種手動蝶閥,球閥,閘閥及各類電動閥和氣動閥 |
C儀表類: | 在線PH儀,在線電導率儀,在線溶解氧儀,電磁流量計,超聲波液位計,磁翻板液位計,雷達液位計,各類變頻器等 |
D配件類: | 槳式攪拌器,液下攪拌器,羅茨風機,磁懸浮風機,膜式曝氣盤,旋流曝氣器,可提升式曝氣器及其它工程配套產品。 |
二、本次供應商征集范圍
全國范圍內有意尋求合作的優質供應商。
三、供應商申請條件
1.供應產品須是國內一線品牌或國際知名品牌。
2.國內品牌,須是生產廠家,提供生產許可證;進口品牌,須是一級代理商,提供代理證明文件。
3.生產商須具有各類管理體系認證證書,包含近3年年檢記錄。
4.年銷售額不低于1億,須提供近3年經審計的財務報表。
5.近5年內供應相關產品的知名項目合作業績不少于10個,須提供相應供貨合同復印件。
6.須提供項目運行3年內,供貨產品無質量問題的用戶證明文件。
7.供應商具有良好的社會信用,未被相關部門列入黑名單、失信聯合懲戒記錄;提供“信用中國”查詢證明。
8.供應商具有履行相關合同的能力。
9.供應產品設計及制造質量不低于最新國家標準。
10.供應產品需提供第三方檢測機構出具的檢測報告。
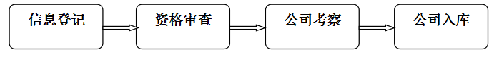
四、征集流程
五、 信息登記途徑
1)本次供應商征集采用郵箱報名方式:Lat@longantai.com
②公司營業執照、生產許可證、管理體系認證證書等相關資質證書(如是代理公司,需附代理相關證明);
③合格證、第三方檢測報告和相關產品彩頁介紹(包含產品圖片、型號、參數和配置等相關信息);
④近5年合作相關案例(《業績表》附件2),提供相應供貨合同復印件;
⑤項目運行3年內,供貨產品無質量問題的用戶證明文件;
⑥供應產品報價單(附件3);
⑦售后服務條款(包含但不限于質保期、備品備件價格)。
注意:供應商填報信息如有虛假信息,一經查實,取消即將或正在進行的合作,并列入企業黑名單,終生禁止合作。
六、本次供應商征集期限:
2019.10.10—2019.11.10,為期1個月。
七、咨詢事宜
咨詢時間:周一至周六(8:30-11:30 14:00-17:00)
聯系人 : 王慧敏 18906461105
孫琳娜 18906362673
山東龍安泰環保科技有限公司
2019年10月10日



